Below is an overview of observation programmes of which I am the PI. Both raw and reduced data from VLT observations can be obtained through the ESO archive.
X-Shooting ULLYSES: The Physics of Massive Stars at Low Metallicity – Part II
Telescope/Instrument: VLT/XSHOOTER
Program ID: 112.25D1
Time allocated: 33.3 hours (Service Mode)
Status: In queue for P112
Abstract
The low metallicity (Z) Universe is fundamentally different from the present-day Milky Way. We know this from observations of individual massive stars, superluminous supernovae, gamma-ray bursts, and more recently from gravitational wave events involving spectacular Black Hole Mergers that will remain obscure until we gain a firm understanding of the physics & evolution of massive stars at low Z. For this reason, the HST DTT program allocated a large number of orbits to build an ultraviolet (UV) spectral library of massive stars at low Z. However, without the complementary optical and near infrared (NIR) spectroscopy the real promise of the ULLYSES dataset is anticipated to remain limited. For this reason, the massive-star community proposes to bring true Legacy value by including not only the critical optical range for stellar parameter determination, but also the NIR regime for future benchmarking purposes, both uniquely offered by X-Shooter in one single shot.
The early Universe next door: a MUSE view of the extremely low-metallicity galaxy Sextans A
Telescope/Instrument: VLT/MUSE
Program ID: 108.221U
Time allocated: 12 hours (Service Mode)
Status: Completed, data reduction in progress
Abstract
To constrain the properties of star-forming galaxies in the early Universe it is critical to understand the evolution and feedback of low-metallicity massive stars, yet very few observational constraint exist below the metallicity of the SMC. Here, we target two fields in one of the lowest metallicity dwarf galaxies in the Local Group, Sextans A (Z ≈ 1/15 Zsun). We will construct the first extensive spectral catalog of massive stars at sub-SMC metallicity, and constrain the stellar properties. The results, unprecedented at the low-metallicity regime, will include a lower limit of the binary fraction, the distribution of rotational velocities of the O-type stars, and a search for specific channels and (late) stages of metal-poor evolution. This allows us to test, for the first time, tailored models of the evolution of massive stars at very low metallicity which, in turn, provide updated estimates of feedback for early-Universe galaxies that are one of the main science drivers of JWST.

The role of episodic mass loss in the evolution of massive stars
Telescope/Instrument: VLT/FORS2
Program ID: 105.20HJ + 109.22W2
Time allocated: 42.3 + 4.2 hours (Service Mode)
Status: Completed, publication in preparation
Abstract
A dominant factor in the evolution of massive stars is the amount of mass lost during their lifetime. Classical line-driven winds are insufficient to explain the observed masses of evolved massive stars, and hence additional mass loss is needed. One of the alternative mechanisms is episodic mass loss, such as η Car-like eruptions. This proposal aims to investigate the incidence and relative importance of episodic mass loss by observing a large number (~1000) of dusty, evolved massive star candidates in nearby galaxies with VLT/FORS, spanning a large range of metallicities. The obtained spectra will be classified and scrutinised for signatures of past or current mass loss events. We will identify dusty, evolved massive stars that have undergone episodic mass loss and assess their occurrence as a function of metallicity. The observations will increase the number of spectroscopically identified massive stars in nearby Southern galaxies other than the Magellanic Clouds by a factor ~5.

Elucidating the nature of nitrogen-rich slowly rotating massive stars in 30 Doradus
Telescope/Instrument: VLT/UVES
Program ID: 0100.D-0192
Time allocated: 1.6 nights (designated Visitor Mode)
Status: Completed, publication in preparation
Abstract
Nitrogen enrichment in the atmospheres of massive stars through rotational mixing is an important prediction from evolutionary models. Two previous large programs (VLT-FLAMES Survey of Massive Stars and VLT-FLAMES Tarantula Survey) have identified a group of slowly rotating, nitrogen-enriched massive stars that cannot be explained with our current understanding of rotational mixing. However, the existing data, with limited wavelength coverage, and moderate spectral resolution and signal-to-noise, have not allowed to elucidate their nature. Here we propose to obtain high-resolution, high-S/N UVES data covering the entire optical wavelength range for a representative subsample of these stars. By performing a detailed quantitative analysis we aim to find clues to the origin of these stars.

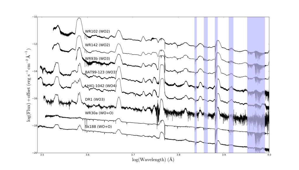
Investigating the nature of WO stars: hot WC stars or a separate evolutionary stage?
Telescope/Instrument: VLT/X-Shooter
Program ID: 093.D-0591
Time allocated: 2 hours (Service Mode)
Status: Completed, published
Abstract
With only eight known members, WO stars are the rarest type of Wolf-Rayet stars. They are in an advanced stage of helium burning and may represent the last stage in massive star evolution. Despite their importance, WO stars are still poorly understood. There are two competing theories on how WO stars compare to the more common WC stars. Firstly, they could represent a more advanved evolutionairy stage and have an enhanced oxygen and carbon abundance. Alternatively, they could be the hot end of the WC sequence, and not necesarily further into their helium-burning stage. To investigate their nature, we aim to perform quantitative X-Shooter spectroscopy of all known WO stars. Six of them have already been observed in periods P88 and P91. We now propose to observe the remaining two stars, which have critical properties for our sample: WR30a, the only Galactic WO in a binary system, and WR142, the only single WO with known, unusually hard, X-ray emission.

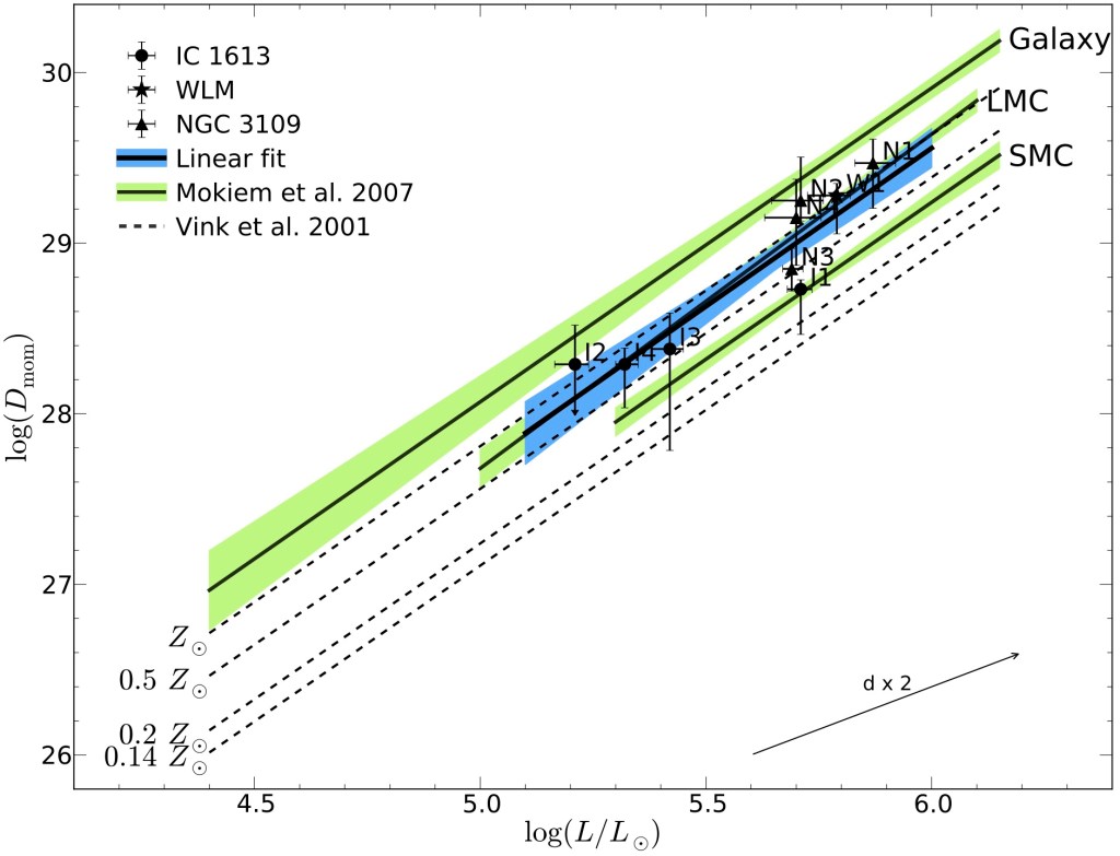
Quantitative spectroscopy of massive stars in the low-metallicity galaxy NGC 3109: testing the mass-loss versus metallicity relation
Telescope/Instrument: VLT/X-Shooter
Program ID: 090.D-0212
Time allocated: 2 nights (GTO; Visitor Mode)
Status: Completed, published
Abstract
The mass loss of massive stars is driven by radiation pressure on metallic ion lines, and is therefore predicted to scale with metallicity. This prediction has been verified for stellar winds in the Galaxy and Magellanic Clouds. To test this prediction at lower metallicities, we have obtained and quantitatively analyzed X-Shooter spectra of a sample of stars in three low-metallicity dwarf galaxies (at Z = 0.14 Zsun). Surprisingly, the wind strengths tend to be greater than predicted, and in two cases are in direct conflict with theory. To further investigate this potential breakdown of radiation-driven wind theory, we propose to observe six more O-type stars in the low-metallicity galaxy NGC 3109, hosting the star with the largest discrepancy with model predictions. If this breakdown of the theory is confirmed, this has strong implications for our understanding of low-metallicity stars and the early Universe, and poses problems to the single-star long-duration gamma-ray burst channel.

Quantitative spectroscopy of massive stars in low metallicity environments: IC 1613
Telescope/Instrument: VLT/X-Shooter
Program ID: 088.D-0181
Time allocated: 1 night (GTO; Visitor Mode)
Status: Completed, published
Abstract
Calibrating massive star evolutionary models up to the pre-supernova stage requires to pinpoint the evolutionary status, and thus the physical and wind parameters, of the most massive stars at various evolutionary stages. Using the unprecedented opportunity offered by X-shooter, we have initiated the first quantitative spectroscopic analysis of some of the most massive stars known in the Local Group. In the first phase of this project we have, among other observations, secured four spectra of stars in the low-metallicity (Z ~ 1/10 Zsun) dwarf galaxy IC 1613. The theory of radiation driven winds predicts the mass loss rates of these stars to be much lower than those of their Galactic counterparts. Surprisingly, we find that the winds are of comparable strength. To investigate the nature of this discrepancy in more detail, we now aim to increase our sample of stars in IC 1613 (this proposal) and in NGC 3109 (accompanying open time proposal), which has a comparable metallicity.
